
Momentum
Background to the schools Wikipedia
SOS Children, an education charity, organised this selection. Sponsor a child to make a real difference.
| Classical mechanics |
|---|
|
|
Branches
|
|
Formulations
Analytical mechanics ( Lagrangian mechanics
Hamiltonian mechanics) |
|
Fundamental concepts
|
|
Core topics
Rigid body
Newton's law of
universal gravitation
Inertial / Non-inertial
reference frame
Mechanics of planar
particle motion
|
|
Rotational motion
Circular motion
Centrifugal force
|
In classical mechanics, momentum ( pl. momenta; SI unit kg· m/s, or, equivalently, N· s) is the product of the mass and velocity of an object (p=mv). For more accurate measures of momentum, see the section "modern definitions of momentum" on this page. It is sometimes referred to as linear momentum to distinguish it from the related subject of angular momentum. Linear momentum is a vector quantity, since it has a direction as well as a magnitude. Angular momentum is a pseudovector quantity because it gains an additional sign flip under an improper rotation the total momentum of any groups of objects remains the same unless outside forces act on the object.
Momentum is a conserved quantity, meaning that the total momentum of any closed system (one not affected by external forces) cannot change.
History of the concept
The word and the general concept of mōmentum was used in the Roman Republic primarily to mean "a movement, motion (as an indwelling force ...)." A fish was able to change velocity (velocitas) through the mōmentum of its tail. The word is formed by an accretion of suffices on the stem of Latin movēre, "to move." A movi-men- is the result of the movēre just as frag-men- is the result of frangere, "to break." Extension by -to- obtains mōvimentum and fragmentum, the former contracting to mōmentum.
The mōmentum was not merely the motion, which was mōtus, but was the power residing in a moving object, captured by today's mathematical definitions. A mōtus, "movement", was a stage in any sort of change, while velocitas, "swiftness", captured only speed. The Romans, due to limitations inherent in the Roman numeral system, were unable to go further with the perception.
The arrival of Arabic numerals in the 10th century opened the gate to modern quantitative philosophy. The concept of momentum in classical mechanics was originated by a number of great thinkers and experimentalists. The first of these was Ibn Sina (Avicenna) circa 1000, who referred to impetus as proportional to weight times velocity. René Descartes later referred to mass times velocity as the fundamental force of motion. Galileo in his Two New Sciences used the Italian word "impeto."
The question has been much debated as to what Sir Isaac Newton's contribution to the concept was. Apparently nothing, except to state more fully and with better mathematics what was already known. The first and second of Newton's Laws of Motion had already been stated by John Wallis in his 1670 work, Mechanica sive De Motu, Tractatus Geometricus: "the initial state of the body, either of rest or of motion, will persist" and "If the force is greater than the resistance, motion will result...." Wallis uses momentum and vis for force.
Newton's "Mathematical Principles of Natural History" when it first came out in 1686 showed a similar casting around for words to use for the mathematical momentum. His Definition II defines quantitas motus, "quantity of motion," as "arising from the velocity and quantity of matter conjointly", which identifies it as momentum. Thus when in Law II he refers to mutatio motus, "change of motion," being proportional to the force impressed, he is generally taken to mean momentum and not motion.
It remained only to assign a standard term to the quantity of motion. The first use of "momentum" in its proper mathematical sense is not clear but by the time of Jenning's Miscellanea in 1721, four years before the final edition of Newton's Principia Mathematica, momentum M or "quantity of motion" was being defined for students as "a rectangle", the product of Q and V where Q is "quantity of material" and V is "velocity", s/t.
Linear momentum of a particle
If an object is moving in any reference frame, then it has momentum in that frame. It is important to note that momentum is frame dependent. That is, the same object may have a certain momentum in one frame of reference, but a different amount in another frame. For example, a moving object has momentum in a reference frame fixed to a spot on the ground, while at the same time having 0 momentum in a reference frame attached to the object's centre of mass.
The amount of momentum that an object has depends on two physical quantities: the mass and the velocity of the moving object in the frame of reference. In physics, the usual symbol for momentum is a small bold p (bold because it is a vector); so this can be written:
where:
is the momentum
is the mass
the velocity
Example: a model airplane of 1 kg travelling due north at 1 m/s in straight and level flight has a momentum of 1 kg m/s due north measured from the ground. To the dummy pilot in the cockpit it has a velocity and momentum of zero.
According to Newton's second law the rate of change of the momentum of a particle is proportional to the resultant force acting on the particle and is in the direction of that force. In the case of constant mass, and velocities much less than the speed of light, this definition results in the equation
or just simply
where F is understood to be the resultant.
Example: a model airplane of 1 kg accelerates from rest to a velocity of 1 m/sec due north in 1 sec. The thrust required to produce this acceleration is 1 newton. The change in momentum is 1 kg-m/sec. To the dummy pilot in the cockpit there is no change of momentum. Its pressing backward in the seat is a reaction to the unbalanced thrust, shortly to be balanced by the drag.
Linear momentum of a system of particles
Relating to mass and velocity
The linear momentum of a system of particles is the vector sum of the momenta of all the individual objects in the system.
where
is the momentum of the particle system
is the mass of object i
the vector velocity of object i
is the number of objects in the system
It can be shown that, in the centre of mass frame the momentum of a system is zero. Additionally, the momentum in a frame of reference that is moving at a speed
with respect to that frame is simply:
where:
.
Relating to force- General equations of motion
The linear momentum of a system of particles can also be defined as the product of the total mass
of the system times the velocity of the centre of mass 
This is commonly known as Newton's second law.
For a more general derivation using tensors, we consider a moving body (see Figure), assumed as a continuum, occupying a volume
at a time
, having a surface area
, with defined traction or surface forces
acting on every point of the body surface, body forces
per unit of volume on every point within the volume
, and a velocity field
prescribed throughout the body. Following the previous equation, The linear momentum of the system is:
By definition the stress vector is
, then
Using the Gauss's divergency theorem to convert a surface integral to a volume integral gives
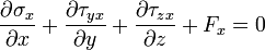
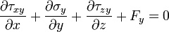
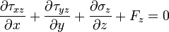
For an arbitrary volume the integrand vanishes, and we have the Cauchy's equations of motion
If a system is in equilibrium, the change in momentum with respect to time is equal to 0, as there is no acceleration.
or using tensors,
These are the equilibrium equations which are used in solid mechanics for solving problems of linear elasticity. In engineering notation, the equilibrium equations are expressed as
Conservation of linear momentum
The law of conservation of linear momentum is a fundamental law of nature, and it states that the total momentum of a closed system of objects (which has no interactions with external agents) is constant. One of the consequences of this is that the centre of mass of any system of objects will always continue with the same velocity unless acted on by a force from outside the system.
Conservation of momentum is a mathematical consequence of the homogeneity (shift symmetry) of space (position in space is the canonical conjugate quantity to momentum). So, momentum conservation can be philosophically stated as "nothing depends on location per se".
In an isolated system (one where external forces are absent) the total momentum will be constant: this is implied by Newton's first law of motion. Newton's third law of motion, the law of reciprocal actions, which dictates that the forces acting between systems are equal in magnitude, but opposite in sign, is due to the conservation of momentum.
Since position in space is a vector quantity, momentum (being the canonical conjugate of position) is a vector quantity as well - it has direction. Thus, when a gun is fired, the final total momentum of the system (the gun and the bullet) is the vector sum of the momenta of these two objects. Assuming that the gun and bullet were at rest prior to firing (meaning the initial momentum of the system was zero), the final total momentum must also equal 0.
In an isolated system with only two objects, the change in momentum of one object must be equal and opposite to the change in momentum of the other object. Mathematically,

Momentum has the special property that, in a closed system, it is always conserved, even in collisions and separations caused by explosive forces. Kinetic energy, on the other hand, is not conserved in collisions if they are inelastic. Since momentum is conserved it can be used to calculate an unknown velocity following a collision or a separation if all the other masses and velocities are known.
A common problem in physics that requires the use of this fact is the collision of two particles. Since momentum is always conserved, the sum of the momenta before the collision must equal the sum of the momenta after the collision:
where:
- u signifies vector velocity before the collision
- v signifies vector velocity after the collision.
Usually, we either only know the velocities before or after a collision and would like to also find out the opposite. Correctly solving this problem means you have to know what kind of collision took place. There are two basic kinds of collisions, both of which conserve momentum:
- Elastic collisions conserve kinetic energy as well as total momentum before and after collision.
- Inelastic collisions don't conserve kinetic energy, but total momentum before and after collision is conserved.
Elastic collisions
A collision between two billiard balls is a good example of an almost totally elastic collision. In addition to momentum being conserved when the two balls collide, the sum of kinetic energy before a collision must equal the sum of kinetic energy after:
Since the 1/2 factor is common to all the terms, it can be taken out right away.
Head-on collision (1 dimensional)
In the case of two objects colliding head on we find that the final velocity
which can then easily be rearranged to
Special Case: m1>>m2
Now consider the case when the mass of one body, say m1, is far greater than that of the other, m2 (m1>>m2). In that case m1+m2 is approximately equal to m1 and m1-m2 is approximately equal to m1.
Using these approximations, the above formula for
reduces to
. Its physical interpretation is that in the case of a collision between two bodies, one of which is much more massive than the other, the lighter body ends up moving in the opposite direction with twice the original speed of the more massive body.
Special Case: m1=m2
Another special case is when the collision is between two bodies of equal mass.
Say body m1 moving at velocity v1 strikes body m2 that is at rest (v2). Putting this case in the equation derived above we will see that after the collision, the body that was moving (m1) will start moving with velocity v2 and the mass m2 will start moving with velocity v1. So there will be an exchange of velocities.
Now suppose one of the masses, say m2, was at rest. In that case after the collision the moving body, m1, will come to rest and the body that was at rest, m2, will start moving with the velocity that m1 had before the collision.
Note that all of these observations are for an elastic collision.
This phenomenon is demonstrated by Newton's cradle, one of the best known examples of conservation of momentum, a real life example of this special case.
Multi-dimensional collisions
In the case of objects colliding in more than one dimension, as in oblique collisions, the velocity is resolved into orthogonal components with one component perpendicular to the plane of collision and the other component or components in the plane of collision. The velocity components in the plane of collision remain unchanged, while the velocity perpendicular to the plane of collision is calculated in the same way as the one-dimensional case.
For example, in a two-dimensional collision, the momenta can be resolved into x and y components. We can then calculate each component separately, and combine them to produce a vector result. The magnitude of this vector is the final momentum of the isolated system.
See the elastic collision page for more details. 
Inelastic collisions
A common example of a perfectly inelastic collision is when two snowballs collide and then stick together afterwards. This equation describes the conservation of momentum:
It can be shown that a perfectly inelastic collision is one in which the maximum amount of kinetic energy is converted into other forms. For instance, if both objects stick together after the collision and move with a final common velocity, one can always find a reference frame in which the objects are brought to rest by the collision and 100% of the kinetic energy is converted. This is true even in the relativistic case and utilized in particle accelerators to efficiently convert kinetic energy into new forms of mass-energy (i.e. to create massive particles).
In case of Inelastic collision, there is a parameter attached called coefficient of restitution (denoted by small 'e' or 'c' in many text books). It is defined as the ratio of relative velocity of separation to relative velocity of approach. It is a ratio hence it is a dimensionless quantity.
When we have an elastic collision the value of e (= coefficient of restitution) is 1, i.e. the relative velocity of approach is same as the relative velocity of separation of the colliding bodies. In an elastic collision the Kinetic energy of the system is conserved.
When a collision is not elastic (e<1) it is an inelastic collision. In case of a perfectly inelastic collision the relative velocity of separation of the centre of masses of the colliding bodies is 0. Hence after collision the bodies stick together after collision. In case of an inelastic collision the loss of Kinetic energy is maximum as stated above.
In all types of collision if no external force is acting on the system of colliding bodies, the momentum will always get preserved.
Explosions
An explosion occurs when an object is divided into two or more fragments due to a release of energy. Note that kinetic energy in a system of explosion is not conserved because it involves energy transformation. (i.e. kinetic energy changes into heat and sound energy)
http://www.glenbrook.k12.il.us/gbssci/phys/Class/momentum/u4l2e.html
In the exploding cannon demonstration, total system momentum is conserved. The system consists of two objects - a cannon and a tennis ball. Before the explosion, the total momentum of the system is zero since the cannon and the tennis ball located inside of it are both at rest. After the explosion, the total momentum of the system must still be zero. If the ball acquires 50 units of forward momentum, then the cannon acquires 50 units of backwards momentum. The vector sum of the individual momenta of the two objects is 0. Total system momentum is conserved.
See the inelastic collision page for more details.
Modern definitions of momentum
Momentum in relativistic mechanics
In relativistic mechanics, in order to be conserved, momentum must be defined as:
where
is the invariant mass of the object moving,
is the Lorentz factor
is the relative velocity between an object and an observer
is the speed of light.
Relativistic momentum can also be written as invariant mass times the object's proper velocity, defined as the rate of change of object position in the observer frame with respect to time elapsed on object clocks (i.e. object proper time). Relativistic momentum becomes Newtonian momentum:
at low speed
.
Relativistic four-momentum as proposed by Albert Einstein arises from the invariance of four-vectors under Lorentzian translation. The four-momentum is defined as:
where
is the
component of the relativistic momentum,
is the total energy of the system:
The "length" of the vector is the mass times the speed of light, which is invariant across all reference frames:
Momentum of massless objects
Objects without a rest mass, such as photons, also carry momentum. The formula is:
where
is Planck's constant,
is the wavelength of the photon,
is the energy the photon carries and
is the speed of light.
Generalization of momentum
Momentum is the Noether charge of translational invariance. As such, even fields as well as other things can have momentum, not just particles. However, in curved space-time which is not asymptotically Minkowski, momentum isn't defined at all.
Momentum in quantum mechanics
In quantum mechanics, momentum is defined as an operator on the wave function. The Heisenberg uncertainty principle defines limits on how accurately the momentum and position of a single observable system can be known at once. In quantum mechanics, position and momentum are conjugate variables.
For a single particle with no electric charge and no spin, the momentum operator can be written in the position basis as
where:
is the gradient operator;
is the reduced Planck constant;
is the imaginary unit.
This is a commonly encountered form of the momentum operator, though not the most general one.
Momentum in electromagnetism
Electric and magnetic fields possess momentum regardless of whether they are static or they change in time. It is a great surprise for freshmen who are introduced to the well known fact of the pressure
of an electrostatic (magnetostatic) field upon a metal sphere, cylindrical capacity or ferromagnetic bar:
where
,
,
, are electromagnetic energy density , electric and magnetic fields respectively. The electromagnetic pressure
may be sufficiently high to explode capacity. Thus electric and magnetic fields do carry momentum.
Light (visible, UV, radio) is an electromagnetic wave and also has momentum. Even though photons (the particle aspect of light) have no mass, they still carry momentum. This leads to applications such as the solar sail.
Momentum is conserved in an electrodynamic system (it may change from momentum in the fields to mechanical momentum of moving parts). The treatment of the momentum of a field is usually accomplished by considering the so-called energy-momentum tensor and the change in time of the Poynting vector integrated over some volume. This is a tensor field which has components related to the energy density and the momentum density.
The definition canonical momentum corresponding to the momentum operator of quantum mechanics when it interacts with the electromagnetic field is, using the principle of least coupling:
,
instead of the customary
,
where:
is the electromagnetic vector potential
the charged particle's invariant mass
its velocity
its charge.



























. Please note that in the notation used by the diagram's creator, the invariant mass
is subscripted with a zero, 



![P_{static} = {W}= [ {\epsilon_0 \epsilon}{\frac{{\mathbf E}^2 }{ {2}}} +{\frac{ 1 }{ {\mu_0 \mu} }} {\frac{{\mathbf B}^2}{{2}}}],](../../images/160/16078.png)
