
Ordinary differential equation
Did you know...
This selection is made for schools by a children's charity read more. A quick link for child sponsorship is http://www.sponsor-a-child.org.uk/
In mathematics, an ordinary differential equation (or ODE) is a relation that contains functions of only one independent variable, and one or more of its derivatives with respect to that variable.
A simple example is Newton's second law of motion, which leads to the differential equation
for the motion of a particle of mass m. In general, the force F depends upon the position of the particle x(t) at time t, and thus the unknown function x(t) appears on both sides of the differential equation, as is indicated in the notation F(x(t)).
Ordinary differential equations are to be distinguished from partial differential equations where there are several independent variables involving partial derivatives.
Ordinary differential equations arise in many different contexts including geometry, mechanics, astronomy and population modelling. Many famous mathematicians have studied differential equations and contributed to the field, including Newton, Leibniz, the Bernoulli family, Riccati, Clairaut, d'Alembert and Euler.
Much study has been devoted to the solution of ordinary differential equations. In the case where the equation is linear, it can be solved by analytical methods. Unfortunately, most of the interesting differential equations are non-linear and, with a few exceptions, cannot be solved exactly. Approximate solutions are arrived at using computer approximations (see numerical ordinary differential equations).
Definitions
Ordinary differential equation
Let y be an unknown function
in x with
the i-th derivative of y, then a function
is called an ordinary differential equation (ODE) of order n. For vector valued functions
F is called a system of ordinary differential equations of dimension m.
When a differential equation of order n has the form
it is called an implicit differential equation whereas the form
is called an explicit differential equation.
A differential equation not depending on x is called autonomous.
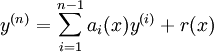
A differential equation is said to be linear if F can be written as a linear combination of the derivatives of y
with ai(x) and r(x) continuous functions in x. The function r(x) is called the source term; if r(x)=0 then the linear differential equation is called homogeneous, otherwise it is called non-homogeneous or inhomogeneous.
Solutions
Given a differential equation
a function
is called solution or integral curve for F, if u is n-times differentiable on I, F is defined for all
and
Given two solutions
and
u is called an extension of v if I ⊂ J and
A solution which has no extension is called a global solution.
A general solution of an n-th order equation is a solution containing
arbitrary variables, corresponding to n constants of integration. A particular solution is derived from the general solution by setting the constants to particular values, often chosen to fulfill set 'Initial or Boundary Conditions'. A singular solution is a solution that can't be derived from the general solution.
Examples
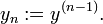
Reduction to a first order system
Any differential equation of order n can be written as a system of n first-order differential equations. Given an explicit ordinary differential equation of order n and dimension 1,
we define a new family of unknown functions
We can then rewrite the original differential equation as a system of differential equations with order 1 and dimension n.
which can be written concisely in vector notation as
with
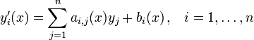
Linear ordinary differential equations
A well understood particular class of differential equations are linear differential equations. We can always reduce an explicit linear differential equation of any order to a system of differential equation of order 1
which we can write concisely using vector notation as
with
Homogeneous equations
The set of solutions for a system of homogeneous linear differential equations of order 1 and dimension n
forms an n-dimensional vector space. Given a basis for this vector space
, which is called a fundamental system, every solution
can be written as
The n × n matrix
is called fundamental matrix. In general there is no method to explicitly construct a fundamental system, but if one solution is known d'Alembert reduction can be used to reduce the dimension of the differential equation by one.
Non-homogeneous equations
The set of solutions for a system of inhomogeneous linear differential equations of order 1 and dimension n
can be constructed by finding the fundamental system
to the corresponding homogeneous equation and one particular solution
to the inhomogeneous equation. Every solution
to inhomogeneous equation can then be written as
A particular solution to the inhomogeneous equation can be found by the method of undetermined coefficients or the method of variation of parameters.
Fundamental systems for homogeneous equations with constant coefficients
For a system of homogeneous linear differential equations with constant coefficients
we can explicitly construct a fundamental system. The system can be written as a matrix differential equation
with solution as a matrix exponential
which is a fundamental matrix for the original differential equation. To explicitly calculate this expression we first transform A into Jordan normal form
and then evaluate the Jordan blocks
of J separately as
Theories of ODEs
Singular solutions
The theory of singular solutions of ordinary and partial differential equations was a subject of research from the time of Leibniz, but only since the middle of the nineteenth century did it receive special attention. A valuable but little-known work on the subject is that of Houtain (1854). Darboux (starting in 1873) was a leader in the theory, and in the geometric interpretation of these solutions he opened a field which was worked by various writers, notably Casorati and Cayley. To the latter is due (1872) the theory of singular solutions of differential equations of the first order as accepted circa 1900.
Reduction to quadratures
The primitive attempt in dealing with differential equations had in view a reduction to quadratures. As it had been the hope of eighteenth-century algebraists to find a method for solving the general equation of the
th degree, so it was the hope of analysts to find a general method for integrating any differential equation. Gauss (1799) showed, however, that the differential equation meets its limitations very soon unless complex numbers are introduced. Hence analysts began to substitute the study of functions, thus opening a new and fertile field. Cauchy was the first to appreciate the importance of this view. Thereafter the real question was to be, not whether a solution is possible by means of known functions or their integrals, but whether a given differential equation suffices for the definition of a function of the independent variable or variables, and if so, what are the characteristic properties of this function.
Fuchsian theory
Two memoirs by Fuchs (Crelle, 1866, 1868), inspired a novel approach, subsequently elaborated by Thomé and Frobenius. Collet was a prominent contributor beginning in 1869, although his method for integrating a non-linear system was communicated to Bertrand in 1868. Clebsch (1873) attacked the theory along lines parallel to those followed in his theory of Abelian integrals. As the latter can be classified according to the properties of the fundamental curve which remains unchanged under a rational transformation, so Clebsch proposed to classify the transcendent functions defined by the differential equations according to the invariant properties of the corresponding surfaces f = 0 under rational one-to-one transformations.
Lie's theory
From 1870 Lie's work put the theory of differential equations on a more satisfactory foundation. He showed that the integration theories of the older mathematicians can, by the introduction of what are now called Lie groups, be referred to a common source; and that ordinary differential equations which admit the same infinitesimal transformations present comparable difficulties of integration. He also emphasized the subject of transformations of contact (Berührungstransformationen).
Sturm-Liouville theory
Sturm-Liouville theory is a general method for resolution of second order linear equations with variable coefficients.




































