Checked content

CS gas

Related subjects: Chemical compounds

About this schools Wikipedia selection

This content from Wikipedia has been selected by SOS Children for suitability in schools around the world. A quick link for child sponsorship is http://www.sponsor-a-child.org.uk/

CS gas
Identifiers
CAS number 2698-41-1
Properties
Molecular formula C10H5Cl N2
Molar mass 188.6 g/mol
Appearance White crystalline powder
Colourless gas when burned
Density 1.04 g/cm³
Melting point

93°C, (366.15 K), (199.4 °F)

Boiling point

310 °C, (583.15 K), (590 °F)

Vapor pressure ([[1 × 10-3 m|mm]] Hg) 3.4 × 10-5 at 20°C
Hazards
MSDS External MSDS
NFPA 704
NFPA 704.svg
1
2
0
Related compounds
Related compounds SDBS
Supplementary data page
Structure and
properties
n, εr, etc.
Thermodynamic
data
Phase behaviour
Solid, liquid, gas
Spectral data UV, IR, NMR, MS
Except where noted otherwise, data are given for materials in their standard state (at 25 °C, 100 kPa)
Infobox references

CS gas is the common name for 2-chlorobenzalmalononitrile (also called o-Chlorobenzylidene Malononitrile) (chemical formula: C10H5ClN2), a substance that is used as a riot control agent and is generally accepted as being non-lethal. CS was discovered by two Americans, Ben Corson and Roger Staughton, in 1928, and the chemical gets its name from the first letters of the scientists' surnames. The compound is actually a solid at room temperature, though it is used as an aerosol.

CS was developed and tested secretly at Porton Down in Wiltshire, England, in the 1950s and 1960s. CS was used first on animals, then subsequently on British Army servicemen volunteers. Notably, CS has a limited effect on animals due to "under-developed tear-ducts and protection by fur".

Production

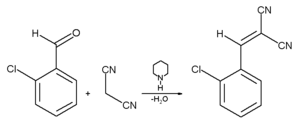
CS is synthesized by the reaction of 2-chlorobenzaldehyde and malononitrile via the Knoevenagel condensation:

CS-chemical-synthesis
ClC6H4CHO + H2C(CN)2 → ClC6H4CHC(CN)2 + H2

The reaction is catalysed with weak base like piperidine or pyridine. The production method has not changed since the substance was discovered by Carson and Staughton. Other bases, solvent free methods and microwave promotion have been suggested to improve the production of the substance.

The physiological properties have been discovered already by the chemists first synthesising the compound in 1928: "Physiological Properties – Certain of these dinitriles have the effect of sneeze and tear gases. They are harmless when wet but to handle the dry powder is disastrous. ( sic)"

Use as an aerosol

As 2-chlorobenzalmalononitrile is a solid at room temperature, not a gas, a variety of techniques have been used to make this solid usable as an aerosol:

  • Melted and sprayed in the molten form.
  • Dissolved in organic solvent.
  • CS2 dry powder (CS2 is a siliconized, micro-pulverized form of CS).
  • CS from thermal grenades by generation of hot gases.

In the Waco Siege, CS was dissolved in the organic solvent dichloromethane (also known as methylene chloride). When the volatile dichlormethane evaporated, the CS crystallized with the dichloromethane molecules as an aerosol. Another method typically used for grenades is to combine CS with a pyrotechnic composition which burns to generate an aerosol of CS-laden smoke. As the smoke disperses, tiny CS crystals 'ride' the smoke molecules to their targets, where they affect the eyes, nose, throat and skin causing extreme irritation.

Effects

Many types of tear gas and other Riot Control Agents have been produced with effects ranging from mild tearing of the eyes to immediate vomiting and prostration. CN and CS are the most widely used and known, but around 15 different types of tear gas have been developed worldwide e.g. Adamsite or Bromoacetone, CNB, and CNC. CS has become the most popular due to its strong effect and lack of toxicity in comparison with other similar chemical agents. The effect of CS on a person will depend on whether it is packaged as a solution or used as an aerosol; the size of solution droplets and the size of the CS particulates after evaporation are factors determining its effect on the human body. Certain individuals, however, have been found to be particularly sensitive to CS and/or the organic solvents that are utilized. Studies on the use of CS on the public have noted that it may be ineffective against persons who are either mentally ill or who are under the effects of drugs and alcohol.

Persons who have had contact with CS sometimes develop allergic contact dermatitis, even with blisters and crust. Studies show that most of the effects are of a relative short term, but individuals notice some mild effects even after months.

The chemical reacts with moisture on the skin and in the eyes causing a burning sensation and the immediate forceful and uncontrollable shutting of the eyes. Reported effects can include tears streaming from the eyes, running nose full of mucus, burning in the nose and throat areas, disorientation, dizziness and restricted breathing. In highly concentrated doses it can also induce severe coughing and vomiting. Almost all of the immediate effects wear off in a matter of minutes.

Use

CS was used to flush the Viet Cong from their tunnels in Vietnam.

CS is used in spray form by many police forces as a temporary incapacitant and to subdue attackers or persons who are violently aggressive. Officers that are trained in the use and application of CS spray are routinely exposed to it as part of their training.

Recently, blank pistol cartridges carrying CS in powder form have been released to public. These, when fired in relatively close ranges, fully expose the target to the effects of CS, and are employed as a potent defensive weapon in regions where blank firing pistols are legally permitted for such use.

Although predominantly used by police it has also been used in criminal attacks in various countries.

Use of CS in war is prohibited under the terms of the 1997 Chemical Weapons Convention (signed in 1993) because it could trigger retaliation with more toxic agents such as nerve gas. Domestic police use of CS, however, is legal in many countries.

Cyprus

CS was first tested in the field by the British army in Cyprus in 1958. At this time it was known by the code name T792.

Vietnam

It has been reported that thousands of tons of CS gas were used by the U.S. forces in Vietnam to bring Viet Cong into the open, other estimates report 15 million pounds (7500 tons) of CS being used. It was also used by the North Vietnamese forces in some battles like Hue in 1968 or during the Easter Offensive in 1972.

Northern Ireland

CS gas was used extensively in the Bogside area of Derry, Northern Ireland during the " Battle of the Bogside", a two-day riot in August, 1969. A total of 1,091 canisters containing 12.5g of CS each, and 14 canisters containing 50g of CS each, were released in the densely populated residential area. On 30 August the Himsworth Inquiry was set up to investigate the medical effects of its use in Derry. Its conclusions, viewed in the political context of the time, still pointed towards the necessity of further testing of CS gas before being used as a riot control agent. During the rioting in Belfast, the following year, known as the Falls Curfew, the Army fired up to 1,600 canisters into the densely populated Falls Road area. Not long after, the British Army and RUC ceased using CS in Northern Ireland. Up to this point, it had been used in crowd control scenarios in Derry and Belfast.

Iraq

Iraq successfully developed CS during the 1970s and during the 1980s produced tons of the substance firstly at Salman Pak and later at al-Muthanna. Saddam Hussein used CS against the Kurds in his own country and against Iran during the Iran-Iraq War. Blackwater Worldwide, acting as an agent of the United States, deployed CS in the Iraq War from a helicopter hovering over a checkpoint in the Green Zone in Bagdhad.

Philippines

CS tear gas was used in submersion of the mutiny in Makati that was led by Sen. Antonio Trillanes. The tear gas was fired in the building and all the people in the building including reporters were affected.

England, Scotland & Wales

CS tear gas was first used in mainland Britain to quell rioting in the Toxteth area of Liverpool in 1981.

Personal incapacitant spray (PIS) was sanctioned for use by police in England and Wales in 1995. The CS preparation in this case is CS dissolved in the organic solvent MiBK, or methyl iso-butyl ketone, an industrial de-greasing agent. The aerosol propellant used in this preparation is nitrogen. Officers in Scotland carry CS spray on their belt.

It has been noted that the solvent MiBK is itself harmful, and can cause inflammation, dermatitis, burns to the skin and liver damage.

A six month trial by 16 police forces in England began on the 1 March 1996. Only two weeks later, on 16 March 1996, a Gambian asylum seeker, Ibrahima Sey was taken to Ilford Police Station in East London. Whilst incapacitating the man, police sprayed him with CS and held him on the ground for over 15 minutes. The man died, the case was taken to court and although a verdict of " unlawful killing" was given by the jury at the end of the inquiry into his death, no charges were brought against any member of the police force.

The forces that do use the PIS in the UK require that police constables should themselves be sprayed with a 3% dissolved CS, during self-defense training, in order for them to be able to be authorized to carry it as personal protection equipment. They are also trained in helping the incapacitated person recover quickly once successfully restrained. Most forces currently issue CS spray to its officers, but there has been a recent move for a few forces to issue PAVA Spray ( pelargonic acid vanillylamide aka nonivamide).

The CS spray used by UK police has 5 times as much CS as the spray used by American police forces (5% dissolved CS and 1% CS respectively).

In 1999 the UK mental health charity MIND called for a suspension in its use until it is fully tested and there is proof that CS is safe.

More recently, in February 2006, there were calls to have CS spray banned in the UK after Dan Ford, from Wareham in Dorset, was permanently facially scarred after being sprayed in the face with a police CS canister. Mr Ford was subsequently advised by doctors to stay out of sunlight for at least 12 months. About the incident, his cousin, Donna Lewis, was quoted as saying, "To look at him, it was like looking at a melting man, with liquid oozing from his face."

However, it is not yet confirmed that Mr Ford's injury is a reaction to having been exposed to police CS spray, or whether an unrelated chemical exposure has caused the injury. An investigation is ongoing.

The British Armed Forces use CS gas annually to test their CBRN equipment. During initial training they introduce recruits to CS gas by ordering them into a small enclosed space known as a Respirator Test Facility (RTF) and igniting chemical tablets to induce CS production. When recruits have carried out their CBRN drills (which include immediate actions for decontamination, an eating drill, a drinking drill and a gas mask canister change) the NCO in charge of the RTF will order them to remove their respirators and inhale the CS. This is apparently to inform the trainees of what CS effects feel like, so they can have trust in their equipment and procedures, thus proving to themselves that it works in the contaminated environment in training, and are then able to take this confidence to the battlefield environment.

In 2005, a student from Mayfield School in Essex, used CS Gas inside a school. Several students were taken to A&E, but all survived. The remaining students of the school were held in classrooms and halls, until it was confirmed by the local police and firefighters that the scene was safe. The event was reported only in a local newspaper, the Ilford Recorder.

United States

CS is used by many police forces within the United States. It was most infamously used as one of a number of techniques by FBI law enforcement officials in the 1993 Waco Siege.

Members of the US armed forces are exposed to CS during initial training, and during training refresher courses or equipment maintenance exercises, using CS tablets that are melted on a hotplate. This is to demonstrate the importance of properly wearing a gas mask or a Protective mask, as the agent's presence quickly reveals an improper fit or seal of the mask's rubber gaskets against the face. These exercises also encourage confidence in the ability of the equipment to protect the wearer from such chemical attacks. Basic Combat Trainees in the United States Army are always exposed in a gas-chamber environment using the tablet form, and often the Drill Sergeants put them in formation near the end of their 9 week cycle and throw CS grenades at them.

Elsewhere

Police fire tear gas at protesters in Quebec.

CS was used in large quantities to quell a protest in Lusaka, Zambia in July 1997 and the 1999 WTO protest in Seattle. Amnesty International reported that it had been manufactured by the UK company Pains-Wessex. Subsequently, Amnesty called for an export ban when the receiving regime is either not fully trained in the use of CS, or had shown usage "contrary to the manufacturer’s instructions".

In September 2000, the Guardian Newspaper revealed how a UK company, HPP, used legal loopholes to export CS to a private security company in Rwanda, in breach of United Nations sanctions. The Guardian also reported that CS was used by the Hutu militia in Rwanda to flush Tutsis out of buildings before hacking them to death.

CS has been used by the government in South Africa; by Israel against Palestinians and Israelis; by the South Korean government in Seoul, and during the Balkan conflicts by Serbia.

CS tear gas was used at the G8 protests in Genoa, Italy and Quebec, Canada during the FTAA anti-globalization demonstrations during the Quebec City Summit of the Americas.

The Canadian, Norwegian and Australian Armies train their soldiers with CS gas in a manner similar to that of the USA, as it is a basic part of NBC (nuclear, biological, chemical) or more recently within NATO, CBRN (Chemical, Biological, Radiological, Nuclear) training. Gas is released by burning tablets, usually in a tent or a small building reserved for this purpose (a "gas hut"), and soldiers are exposed to it on three occasions. During the first two exposures the soldier enters the tent or gas hut wearing a gas mask. During the first exposure he removes his gas mask and leaves the tent or hut. During the second exposure he must remove the mask, receive facial exposure, then replace and clear the mask. In the third exposure he enters the tent unprotected, must fit and clear the gas mask before leaving. Other drills such as drinking and under-mask decontamination are usually also practised yearly. Symptoms are a burning sensation on any moist skin, whether due to perspiration or other fluids such as tears or in the nasal membranes.

Toxicity

Although described as a non-lethal weapon for crowd control, many studies have raised doubts about this classification. As well as creating severe pulmonary damage, CS can also significantly damage the heart and liver.

On September 28, 2000, Prof. Dr. Uwe Heinrich released a study commissioned by John C. Danforth, of 'The Office of Special Counsel', to investigate the use of CS by the FBI at the Branch Davidians' Mount Carmel compound. He concluded that the lethality of CS used would have been determined mainly by two factors: whether gas masks were used and whether the occupants were trapped in a room. He suggests that if no gas masks were used and the occupants were trapped, then, "...there is a distinct possibility that this kind of CS exposure can significantly contribute to or even cause lethal effects."

Many reports have associated CS exposure with miscarriages, this is consistent with its reported clastogenic effect (abnormal chromosome change) on mammalian cells.

When CS is metabolized, cyanide can be detected in human tissue. According to the United States Army Centre for Health Promotion and Preventive Medicine, CS emits "very toxic fumes" when heated to decomposition, and at specified concentrations CS gas is an immediate danger to life and health. They also state that those exposed to CS gas should seek medical attention immediately.

Decontamination

CS contamination can be removed by washing with an alkaline solution of water and 5% sodium bisulfite. A quick way to decontaminate the eyes is to pour cow's milk into them. Vision will be restored although breathing difficulties and pain will persist.

Retrieved from " http://en.wikipedia.org/w/index.php?title=CS_gas&oldid=210200859"