
Aldol reaction
About this schools Wikipedia selection
The articles in this Schools selection have been arranged by curriculum topic thanks to SOS Children volunteers. Child sponsorship helps children one by one http://www.sponsor-a-child.org.uk/.
The aldol reaction is an important carbon-carbon bond formation reaction in organic chemistry. In its usual form, it involves the nucleophilic addition of a ketone enolate to an aldehyde to form a β-hydroxy ketone, or "aldol" (aldehyde + alcohol), a structural unit found in many naturally occurring molecules and pharmaceuticals. Sometimes, the aldol addition product loses a molecule of water during the reaction to form an α,β-unsaturated ketone. This is called an aldol condensation. The aldol reaction was discovered independently by Charles-Adolphe Wurtz and by Alexander Porfyrevich Borodin in 1872. Borodin observed the aldol dimerization of 3-hydroxybutanal from acetaldehyde under acidic conditions. The aldol reaction is used widely in the large scale production of commodity chemicals such as pentaerythritol and in the pharmaceutical industry for the synthesis of optically pure drugs. For example, Pfizer's initial route to the heart disease drug Lipitor (INN: atorvastatin), approved in 1996, employed two aldol reactions, allowing access to multigram-scale quantities of the drug.
The aldol structural motif is especially common in polyketides, a class of natural products from which many pharmaceuticals are derived, including the potent immunosuppressant FK506, the tetracycline antibiotics, and the antifungal agent amphotericin B. Extensive research on the aldol reaction has produced highly efficient methods which enable the otherwise challenging synthesis of many polyketides in the laboratory. This is important because many polyketides, along with other biologically active molecules, occur naturally in quantities impractically small for further investigation. The synthesis of many such compounds, once considered nearly impossible, can now be performed routinely on the laboratory scale, and is approaching economic viability on a larger scale in some cases, such as the highly active anti-tumor agent discodermolide. In biochemistry, the aldol reaction is one of the key steps of glycolysis, where it is catalyzed by enzymes called aldolases.
The aldol reaction is particularly valuable in organic synthesis because it produces products with two new stereogenic centers (on the α- and β-carbon of the aldol adduct, marked with asterisks in the scheme above). Modern methods, described below, now allow the relative and absolute configuration of these centers to be controlled. This is of particular importance when synthesizing pharmaceuticals, since molecules with the same structural connectivity but different stereochemistry often have vastly different chemical and biological properties.
A variety of nucleophiles may be employed in the aldol reaction, including the enols, enolates, and enol ethers of ketones, aldehydes, and many other carbonyl compounds. The electrophilic partner is usually an aldehyde, although many variations, such as the Mannich reaction, exist. When the nucleophile and electrophile are different (the usual case), the reaction is called a crossed aldol reaction (as opposed to dimers formed in an aldol dimerization).

A solution of lithium diisopropylamide (LDA) in tetrahydrofuran (THF) (in the flask on the right) is being added to a solution of tert-butyl propionate in the flask on the left, forming its lithium enolate. An aldehyde can then be added to initiate an aldol addition reaction.
Both flasks are submerged in a dry ice/acetone cooling bath (-78 °C) the temperature of which is being monitored by a thermocouple (the wire on the left).
Mechanisms
The aldol reaction may proceed via two fundamentally different mechanisms. Carbonyl compounds, such as aldehydes and ketones, can be converted to enols or enol ethers. These compounds, being nucleophilic at the α-carbon, can attack especially reactive protonated carbonyls such as protonated aldehydes. This is the "enol mechanism". Carbonyl compounds, being carbon acids, can also be deprotonated to form enolates, which are much more nucleophilic than enols or enol ethers and can attack electrophiles directly. The usual electrophile is an aldehyde, since ketones are much less reactive. This is the "enolate mechanism".
If the conditions are particularly harsh (e.g., NaOMe, MeOH, reflux), condensation may occur, but this can usually be avoided with mild reagents and low temperatures (e.g., LDA (a strong base), THF, -78 °C). Although the aldol addition usually proceeds to near completion, the reaction is not irreversible, since the treatment of aldol adducts with strong bases usually induces retro-aldol cleavage (gives the starting materials). Aldol condensations are irreversible.
Enol mechanism
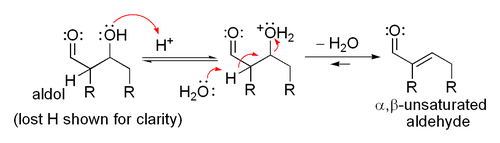
When an acid catalyst is used, the initial step in the reaction mechanism involves acid-catalyzed tautomerization of the carbonyl compound to the enol. The acid also serves to activate the carbonyl group of another molecule by protonation, rendering it highly electrophilic. The enol is nucleophilic at the α-carbon, allowing it to attack the protonated carbonyl compound, leading to the aldol after deprotonation. This usually dehydrates to give the unsaturated carbonyl compound. The scheme shows a typical acid-catalyzed self-condensation of an aldehyde.
Acid catalyzed aldol mechanism
Acid catalyzed dehydration
Enolate mechanism
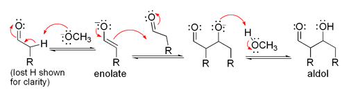
If the catalyst is a moderate base such as hydroxide ion or an alkoxide, the aldol reaction occurs via nucleophilic attack by the resonance-stabilized enolate on the carbonyl group of another molecule. The product is the alkoxide salt of the aldol product. The aldol itself is then formed, and it may then undergo dehydration to give the unsaturated carbonyl compound. The scheme shows a simple mechanism for the base catalyzed aldol reaction of an aldehyde with itself.
Base catalyzed aldol reaction (shown using −OCH3 as base)
Base catalyzed dehydration (sometimes written as a single step)
Although only a catalytic amount of base is required in some cases, the more usual procedure is to use a stoichiometric amount of a strong base such as LDA or NaHMDS. In this case, enolate formation is irreversible, and the aldol product is not formed until the metal alkoxide of the aldol product is protonated in a separate workup step.
Zimmerman-Traxler model
More refined forms of the mechanism are known. In 1957, Zimmerman and Traxler proposed that some aldol reactions have "six-membered transition state s having a chair conformation." This is now known as the Zimmerman-Traxler model. E-enolates give rise to anti products, whereas Z-enolates give rise to syn products. The factors which control selectivity are the preference for placing substituents equatorially in six-membered transition states and the avoidance of syn-pentane interactions, respectively. E and Z refer to the cis-trans stereochemical relationship between the enolate oxygen bearing the positive counterion and the highest priority group on the alpha carbon. In reality, only some metals such as lithium and boron reliably follow the Zimmerman-Traxler model. Thus, in some cases, the stereochemical outcome of the reaction may be unpredictable.
Control in the Aldol reaction
The problem
The problem of "control" in the aldol addition is best demonstrated by an example. Consider the outcome of this hypothetical reaction:
In this reaction, two unsymmetrical ketones are being condensed using sodium ethoxide. The basicity of sodium ethoxide is such that it cannot fully deprotonate either of the ketones, but can produce small amounts of the sodium enolate of both ketones. Effectively, this means that in addition to being potential aldol electrophiles, both ketones may also act as nucleophiles via their sodium enolate. Two electrophiles and two nucleophiles then potentially results in four possible products:
Thus, if one wishes to obtain only one of the cross-products, then one must "control" the aldol addition.
Acidity
If one partner is considerably more acidic than the other, then control may be automatic. The most acidic proton is abstracted by the base and an enolate is formed. This type of control only works if the difference in acidity is large enough and no excess of base is used for the reaction. The simplest control is if only one of the reactants has acidic protons and only this molecule forms the enolate. For example, the addition of diethyl malonate into benzaldehyde would only produce one product:
In this case, the doubly activated methylene protons of the malonate would be preferentially deprotonated by sodium ethoxide and quantitatively form the sodium enolate. Since benzaldehyde has no acidic alpha-protons, there is only one possible nucleophile-electrophile combination; hence, control has been achieved. Note that this approach combines two elements of control: increased acidity of the alpha protons on the nucleophile and the lack of alpha protons on the electrophile.
Order of addition
One common solution is to form the enolate of one partner first, and then add the other partner under kinetic control. Kinetic control means that the forward aldol addition reaction must be significantly faster than the reverse retro-aldol reaction. For this approach to succeed, two other conditions must also be satisfied; namely, it must be possible to quantitatively form the enolate of one partner and the forward aldol reaction must be significantly faster than the transfer of the enolate from one partner to another. Common kinetic control conditions involve the formation of the enolate of a ketone with LDA at -78 °C, followed by the slow addition of an aldehyde.
Enolates
Formation
The enolate may be formed by using a strong base ("hard conditions") or using a Lewis acid and a weak base ("soft conditions"):
For deprotonation to occur, the stereoelectronic requirement is that the alpha-C-H sigma bond must be able to overlap with the pi* orbital of the carbonyl:
Geometry
Extensive studies have been performed on the formation of enolates under many different conditions. It is now possible to generate, in most cases, the desired enolate geometry:
(-- In the above image, the second reaction scheme should say >99% E-enolate, not Z --) For ketones, most enolization conditions give Z enolates. For esters, most enolization conditions give E enolates. The addition of HMPA is known to reverse the stereoselectivity of deprotonation.
The stereoselective formation of enolates has been rationalized with the so-called Ireland model, although its validity is somewhat questionable. In most cases, it is not known which, if any, intermediates are monomeric or oligomeric in nature; nonetheless, the Ireland model remains a useful tool for understanding enolates.
In the Ireland model, the deprotonation is assumed to proceed by a six-membered monomeric transition state. The larger of the two substituents on the electrophile (in the case above, methyl is larger than proton) adopts an equatorial disposition in the favored transition state, leading to a preference for E enolates. The model clearly fails in many cases; for example, if the solvent mixture is changed from THF to 23% HMPA-THF (as seen above), the enolate geometry is inexplicably reversed.
Kinetic vs. thermodynamic enolates
If an unsymmetrical ketone is subjected to base, it has the potential to form two regioisomeric enolates (ignoring enolate geometry). For example:
The trisubstituted enolate is considered the kinetic enolate while the tetrasubstituted enolate is considered the thermodynamic enolate. The alpha hydrogen deprotonated to form the kinetic enolate is less hindered, and therefore deprotonated more quickly. In general, tetrasubstituted olefins are more stable than trisubstituted olefins due to hyperconjugative stabilization. The ratio of enolate regioisomers is heavily influenced by the choice of base. For the above example, kinetic control may be established with LDA at -78 °C, giving 99:1 selectivity of kinetic: thermodynamic enolate, while thermodynamic control may be established with triphenylmethyllithium at room temperature, giving 10:90 selectivity.
In general, kinetic enolates are favored by cold temperatures, relatively ionic metal-oxygen bonds, and rapid deprotonation using a slight excess of a strong, hindered base while thermodynamic enolates are favored by higher temperatures, relatively covalent metal-oxygen bonds, and longer equilibration times for deprotonation using a slight sub-stoichiometric amount of strong base. Use of a sub-stoichiometric amount of base allows some small fraction of unenolized carbonyl compound to equilibrate the enolate to the thermodynamic regioisomer by acting as a proton shuttle.
Stereoselectivity
The aldol reaction is particularly useful because two new stereogenic centers are generated in one reaction. Extensive research has been performed to understand the reaction mechanism and improve the selectivity observed under many different conditions. The syn/anti convention is commonly used to denote the relative stereochemistry at the α- and β-carbon.
The convention applies when propionate (or higher order) nucleophiles are added to aldehydes. The R group of the ketone and the R' group of the aldehyde are aligned in a "zig zag" pattern in the plane of the paper, and the disposition of the formed stereocenters is deemed syn or anti, depending if they are on the same or opposite sides of the main chain.
Older papers use the erythro- threo nomenclature familiar from carbohydrate chemistry.
E vs. Z enolates
There is no significant difference between the level of stereoinduction observed with E and Z enolates:
Metal ion
The enolate metal cation may play a large role in determining the level of stereoselectivity in the aldol reaction. Boron is often used because its bond lengths are significantly shorter than that of other metals such as lithium, aluminium, or magnesium. For example, boron-carbon and boron-oxygen bonds are 1.4–1.5 Å and 1.5–1.6 Å in length, respectively, whereas typical metal-carbon and metal-oxygen bonds are typically 1.9–2.2 Å and 2.0–2.2 Å in length, respectively. This has the effect of "tightening" the transition state:
Stereoselectivity: Alpha stereocenter on the enolate
The aldol reaction may exhibit "substrate-based stereocontrol", in which existing chirality on either reactant influences the stereochemical outcome of the reaction. This has been extensively studied, and in many cases, one can predict the sense of asymmetric induction, if not the absolute level of diastereoselectivity. If the enolate contains a stereocenter in the alpha position, excellent stereocontrol may be realized.
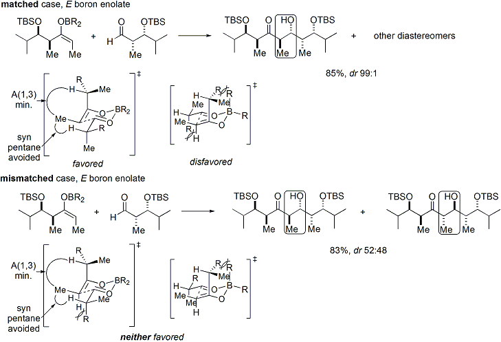
In the case of an E enolate, the dominant control element is allylic 1,3-strain whereas in the case of a Z enolate, the dominant control element is the avoidance of 1,3-diaxial interactions. The general model is presented below:
For clarity, the stereocenter on the enolate has been epimerized; in reality, the opposite diastereoface of the aldehyde would have been attacked. In both cases, the 1,3-syn diastereomer is favored. There are many examples of this type of stereocontrol:
Stereoselectivity: Alpha stereocenter on the electrophile
When enolates attacks aldehydes with an alpha stereocenter, excellent stereocontrol is also possible. The general observation is that E enolates exhibit Felkin diastereoface selection, while Z enolates exhibit anti-Felkin selectivity. The general model is presented below:
Since Z enolates must react through a transition state which either contains a destabilizing syn-pentane interaction or anti-Felkin rotamer, Z-enolates exhibit lower levels of diastereoselectivity in this case. Some examples are presented below:
Stereoselectivity: Merged model for stereoinduction
If both the enolate and the aldehyde both contain pre-existing chirality, then the outcome of the "double stereodifferentiating" aldol reaction may be predicted using a merged stereochemical model that takes into account the enolate facial bias, enolate geometry, and aldehyde facial bias. Several examples of the application of this model are given below: 
Evans' oxazolidinone chemistry
Modern organic syntheses now require the synthesis of compounds in enantiopure form. Since the aldol addition reaction creates two new stereocenters, up to four stereoisomers may result.
Many methods which control both relative stereochemistry (i.e., syn or anti, as discussed above) and absolute stereochemistry (i.e., R or S) have been developed.
A widely used method is the Evans' acyl oxazolidinone method. Developed in the late 1970s and 1980s by David A. Evans and coworkers, the method works by temporarily creating a chiral enolate by appending a chiral auxiliary. The pre-existing chirality from the auxiliary is then transferred to the aldol adduct by performing a diastereoselective aldol reaction. Upon subsequent removal of the auxiliary, the desired aldol stereoisomer is revealed.
In the case of the Evans' method, the chiral auxiliary appended is an oxazolidinone, and the resulting carbonyl compound is an imide. A number of oxazolidinones are now readily available in both enantiomeric forms. These may cost roughly $10-$20 US dollars per gram, rendering them relatively expensive.
The acylation of an oxazolidinone is a convenient procedure, and is informally referred to as "loading done". Z-enolates, leading to syn-aldol adducts, can be reliably formed using boron-mediated soft enolization:
Often, a single diastereomer may be obtained by one crystallization of the aldol adduct. Unfortunately, anti-aldol adducts cannot be obtained reliably with the Evans method. Despite the cost and the limitation to give only syn adducts, the method's superior reliability, ease of use, and versatility render it the method of choice in many situations. Many methods are available for the cleavage of the auxiliary:
Upon construction of the imide, both syn and anti-selective aldol addition reactions may be performed, allowing the assemblage of three of the four possible stereoarrays: syn selective: and anti selective:
In the syn-selective reactions, both enolization methods give the Z enolate, as expected; however, the stereochemical outcome of the reaction is controlled by the methyl stereocenter, rather than the chirality of the oxazolidinone. The methods described allow the stereoselective assembly of polyketides, a class of natural products which often feature the aldol retron.
Modern Aldol Chemistry
Recent methodology now allows a much wider variety of aldol reactions to be conducted, often with a catalytic amount of chiral ligand. When reactions employ small amounts of enantiomerically pure ligands to induce the formation of enantiomerically pure products, the reactions are typically termed "catalytic, asymmetric"; for example, many different catalytic, asymmetric aldol reactions are now available.
Acetate Aldol Reactions
A key limitation to the chiral auxiliary approach described previously is the failure of N-acetyl imides to react selectively. An early approach was to use a temporary thioether group:
Mukaiyama aldol reaction
The Mukaiyama aldol reaction is the nucleophilic addition of silyl enol ethers to aldehydes catalyzed by a Lewis acid such as boron trifluoride or titanium chloride. The Mukaiyama aldol reaction does not follow the Zimmerman-Traxler model. Carreira has described particularly useful asymmetric methodology with silyl ketene acetals, noteworthy for its high levels of enantioselectivity and wide substrate scope.
The method works on unbranched aliphatic aldehydes, which are often poor electrophiles for catalytic, asymmetric processes. This may be due to poor electronic and steric differentiation between their enantiofaces.
The analogous vinylogous Mukaiyama aldol process can also be rendered catalytic and asymmetric. The example shown below works efficiently for aromatic (but not aliphatic) aldehydes and the mechanism is believed to involve a chiral, metal-bound dienolate.
Crimmins thiazoldinethione aldol
A more recent version of the Evans' auxiliary is the Crimmins thiazoldinethione. The yields, diastereoselectivities, and enantioselectivities of the reaction are generally high, although not as high as in comparable Evans cases. Unlike the Evans auxiliary, however, the thiazoldinethione can perform acetate aldol reactions (ref: Crimmins, Org. Lett. 2007, 9(1), 149–152.) and can produce the "Evans syn" or "non-Evans syn" adducts by simply varying the amount of (-)-sparteine. The reaction is believed to proceed via six-membered, titanium-bound transition states, analogous to the proposed transition states for the Evans auxiliary.
Organocatalytic aldol reactions
An exciting new development is the use of chiral secondary amine catalysts. These secondary amines form transient enamines when exposed to ketones, which may react enantioselectively with suitable aldehyde electrophiles. This is known as enamine catalysis, a type of organocatalysis, since the catalyst is entirely based on a small organic molecule. In a seminal example, proline efficiently catalyzed the cyclization of a triketone:
This reaction is known as the Hajos-Parrish reaction (also known as the Hajos-Parrish-Eder-Sauer-Wiechert reaction, referring to a contemporaneous report from Schering of the reaction under harsher conditions). Only a catalytic amount of proline is necessary (3 mol%). There is no danger of an achiral background reaction because the transient enamine intermediates are much more nucleophilic than their parent ketone enols. This strategy is particularly powerful because it offers a simple way of generating enantioselectivity in reactions without using transition metals, which have the possible disadvantages of being toxic or expensive.
Interestingly, proline-catalyzed aldol reactions do not show any non-linear effects (the enantioselectivity of the products is directly proportional to the enantiopurity of the catalyst). Combined with isotopic labelling evidence and computational studies, the proposed reaction mechanism for proline-catalyzed aldol reactions is as follows:
This strategy allows the otherwise challenging cross-aldol reaction between two aldehydes. In general, cross-aldol reactions between aldehydes are typically challenging because they can polymerize easily or react unselectively to give a statistical mixture of products. The first example is shown below:
In contrast to the preference for syn adducts typically observed in enolate-based aldol additions, these organocatalyzed aldol additions are anti-selective. In many cases, the organocatalytic conditions are mild enough to avoid polymerization. However, selectivity requires the slow syringe-pump controlled addition of the desired electrophilic partner because both reacting partners typically have enolizable protons. If one aldehyde has no enolizable protons or alpha- or beta-branching, additional control can be achieved.
An elegant demonstration of the power of asymmetric organocatalytic aldol reactions was disclosed by MacMillan and coworkers in 2004 in their synthesis of differentially protected carbohydrates. While traditional synthetic methods accomplish the synthesis of hexoses using variations of iterative protection-deprotection strategies, requiring 8–14 steps, organocatalysis can access many of the same substrates using an efficient two-step protocol involving the proline-catalyzed dimerization of alpha-oxyaldehydes followed by tandem Mukaiyama aldol cyclization.
The aldol dimerization of alpha-oxyaldehydes requires that the aldol adduct, itself an aldehyde, be inert to further aldol reactions. Earlier studies revealed that aldehydes bearing alpha-alkyloxy or alpha- silyloxy substituents were suitable for this reaction, while aldehydes bearing Electron-withdrawing groups such as acetoxy were unreactive. The protected erythrose product could then be converted to four possible sugars via Mukaiyama aldol addition followed by lactol formation. This requires appropriate diastereocontrol in the Mukaiyama aldol addition and the product silyloxycarbenium ion to preferentially cyclize, rather than undergo further aldol reaction. In the end, glucose, mannose, and allose were synthesized:
"Direct" aldol additions
In the usual aldol addition, a carbonyl compound is deprotonated to form the enolate. The enolate is added to an aldehyde or ketone, which forms an alkoxide, which is then protonated on workup. A superior method, in principle, would avoid the deprotonation-aldol-protonation sequence in favour of a "direct aldol addition". The major issue in such a process is that the aldol addition generates an alkoxide, which is much more basic than the starting materials, precluding catalyst turnover:
One approach, recently demonstrated by Evans, is to silylate the aldol adduct:
This method is more cost effective and industrially useful than the more typical enolate-based procedures. A more recent, biomimetic approach by Shair uses beta-thioketoacids as the nucleophile. The ketoacid moiety is decarboxylated in situ (the chiral ligand is a bisoxazoline). Interestingly, aromatic and branched aliphatic aldehydes are typically poor substrates.












































