 |
This is a file from the Wikimedia Commons. Information from its description page there is shown below. Commons is a freely licensed media file repository. You can help.
|
 |
File:Calcitriol-Biosynthese 2.svg is a vector version of this file. It should be used in place of this raster image when superior.
File:Reaction-PrevitaminD3-VitaminD3.png  File:Calcitriol-Biosynthese 2.svg
For more information about vector graphics, read about Commons transition to SVG. There is also information about MediaWiki's support of SVG images.
|
|
 |
The copyright holder of this work allows anyone to use it for any purpose including unrestricted redistribution, commercial use, and modification. Please check the source to verify that this is correct. In particular, note that publication on the Internet, like publication by any other means, does not in itself imply permission to redistribute. Files without valid permission should be tagged with {{subst: npd}}.
Usage notes: • If the work requires attribution, use {{ Attribution}} instead • If this is your own work, please use {{ Cc-zero}} instead
|
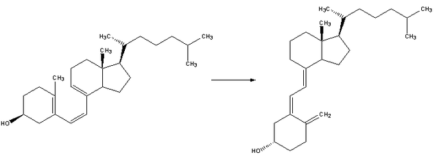
Taken from Image:Calcitriol-Synthesis.png
File usage
The following pages on Schools Wikipedia link to this image (list may be incomplete):
Through Schools Wikipedia, SOS Children's Villages has brought learning to children around the world. SOS Children's Villages is a global charity founded in 1949 to give children who have lost everything the childhood they deserve. There are many ways to help with SOS Childrens Villages.